Herstellen von Verbindungen zwischen linearen Modellen
Arithmetische Operationen zum Herstellen von Verbindungen zwischen Modellen
An LTI-Modellen können Sie arithmetische Operationen durchführen, wie zum Beispiel Addition, Multiplikation oder Verkettung. Bei einer Addition wird eine Verbindung in Parallelschaltung hergestellt. Wenn Sie zum Beispiel den folgenden Befehl eingeben:
tf(1,[1 0]) + tf([1 1],[1 2]) % 1/s + (s+1)/(s+2)
wird diese Transferfunktion generiert.
Transfer function: s^2 + 2 s + 2 ------------- s^2 + 2 s
Bei einer Multiplikation wird eine Verbindung in Reihenschaltung hergestellt. Wenn Sie zum Beispiel den folgenden Befehl eingeben:
2 * tf(1,[1 0])*tf([1 1],[1 2]) % 2*1/s*(s+1)/(s+2)
wird diese Kaskaden-Transferfunktion generiert.
Transfer function: 2 s + 2 --------- s^2 + 2 s
Wenn die Operanden Modelle verschiedener Typen sind, wird der resultierende Modelltyp durch Vorrangregeln bestimmt. Weitere Informationen dazu finden Sie unter Rules That Determine Model Type.
Weitere Informationen zu arithmetischen Modellfunktionen finden Sie unter Catalog of Model Interconnections.
Sie können auch die Funktionen series und parallel als Ersatz für die Multiplikation bzw. Addition verwenden.
Äquivalente Methoden zum Herstellen von Verbindungen zwischen Systemen
Operator | Funktion | Resultierende Transferfunktion |
|---|---|---|
|
| Systeme in Parallelschaltung |
|
| Systeme in Parallelschaltung |
|
| Kaskadensysteme |
Feedback-Schaltungen
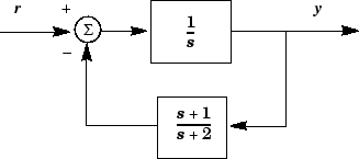
Sie können die Funktionen feedback und lft verwenden, um Modelle geschlossener Regelkreise abzuleiten. Beispiel:
sys_f = feedback(tf(1,[1 0]), tf([1 1],[1 2])
berechnet die Transferfunktion des geschlossenen Regelkreises von r bis y für die unten dargestellte Feedback-Schleife. Das Ergebnis lautet:
Transfer function:
s + 2
-------------
s^2 + 3 s + 1
Die folgende Abbildung zeigt das zusammengeschaltete System im Blockdiagramm-Format.
Feedback-Schaltung

Sie können die Funktion lft verwenden, um kompliziertere Feedback-Strukturen zu erstellen. Diese Funktion erstellt die lineare Bruchtransformation von zwei Systemen. Weitere Informationen finden Sie auf der Referenzseite.